Shortly before he died, Tycho hired Johannes Kepler to interpret his observations of the planets. See http://kepler.nasa.gov/Mission/JohannesKepler/ or http://en.wikipedia.org/wiki/Johannes_Kepler
![]() |
Tycho didnt want to give Kepler all of his data
because he still had hopes of figuring out the planetary system himself. He gave Kepler the data on Mars because he thought Mars was the planet whose observations would be the most difficult to interpret. Ironically, Mars orbit is the one for which Tycho had good data that deviates the most from a circle and hence was most likely to guide Kepler to the correct result. |
Key points: Philosophy that drove Kepler's science; Kepler's three laws
After Tycho died, his relatives fought Kepler for the observations because they wanted to gather the glory that would result from interpreting them. Eventually, Kepler prevailed. It took genius as well as ambition to cash in on Tycho's work - Tycho's relatives didn't have a chance!
Kepler believed in the Copernican system and sought the key to reconciling Tychos observations with a heliocentric model for the solar system. In addition to his mathematical genius, his philosophical contribution was huge - as described by Einstein: "[Kepler] had to realize clearly that logical-mathematical theorizing, no matter how lucid, could not guarantee truth by itself; that the most beautiful logical theory means nothing in natural science without comparison with the exactest experience. Without this philosophical attitude, his work would not have been possible." (from the introduction Einstein wrote for Baumgard & Callan's 'Johannes Kepler: Life and Letters' (1953)). Kepler's focus on fitting the exact observations from Tycho led him to abandon the idea that the planets had to move on combinations of circles, a bit of logical-mathematical theorizing that had held sway for 1800 years!
Kepler was obsessed with finding a fit: below are two pages of the hundreds he covered with calculations (From Astronomy, by Fred Hoyle):

We sometimes underestimate "minor" advances: one of Kepler's problems was that decimal numerical notation had not been invented, so he had to carry fractions throughout!
| The orbits of planets are not
circles but oval-shaped curves called ellipses! (From U. Tenn, Ast. 161, http://csep10.phys.utk.edu/astr161/lect/history/kepler.html) |
![]() |
This discovery about the shapes of planets orbits is now known as
Kepler also discovered two other laws :
| Keplers Second Law: The line joining the planet to the sun sweeps out equal areas in equal times as it moves along its orbit. |
![]() |
![]() |
(From http://kepler.nasa.gov/Mission/JohannesKepler/) An implication of Keplers Second Law is that a planet moves faster when it is closer to the sun and slower when more distant. ==>Keplers first two laws replaced the old Aristotelian assumptions of circular orbits and constant velocities. |
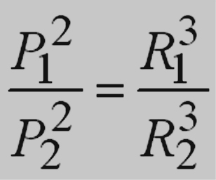
Here is a sample of how this works in the solar system. Kepler's law predicts that the ratio of the orbital period squared to the orbital radius cubed should always be the same:
| Planet | Radius of orbit (R) in A.U. | Cube of radius, R3 | Time to go around orbit (Period, P) in yrs. | P2 | P2 /R3 |
| Mercury | 0.387 | .0580 | .241 | .0581 | 1 |
| Venus | 0.723 | .378 | .615 | .378 | 1 |
| Earth | 1.00 | 1.00 | 1.00 | 1.00 | 1 |
| Mars | 1.524 | 3.54 | 1.881 | 3.538 | 1 |
This law implies that planets further from the sun not only have longer
years, but they are actually moving more slowly along their orbits
.
![]() |
Here is an example (from http://www.pd.astro.it/hosted/PlanetV/planetarium/L14_03S.html).
Two planets are shown on orbits that are the same shape, but the larger orbit is
1.5874 times bigger than the smaller. Notice that the planet on the larger orbit takes
twice as long to go around the star. This is because R13/R23
= 1.58743 = 4 = 22 = P12/P22,
as required by Kepler's Third Law.
|
![]() |
Kepler did not just analyze Tycho's
observations. He devised a pinhole camera that projected an image of the sun
on a sheet of paper, and used it to observe a partial solar eclipse in 1600
and a total one in 1605. He used these measurements to refine his
calculations of the orbit of the moon. With his simple camera, he also
discovered sunspots (although at first he thought he had seen the shadow of
Mercury in front of the sun which, if correct, would have immediately
confirmed the sun-centered model of the solar system). Hans von Aachen added a picture of the eclipse of 1605 to his painting of Adam and Eve being expelled from the Garden of Eden (photo by G. Rieke) Kepler also worked on optics and published a book that is considered the foundation of modern work in that area. In it, he invented an improved type of telescope (although it appears he never made one). |
Kepler was able to derive a geometrical description of how the planets move that fit the existing data extremely well:
![]() |
The solid line shows the difference between Kepler's predictions and the observed position of Mars. (from Owen Gingerich, "Johannes Kepler and the Rudolphine Tables," Sky and Telescope, December, 1971, page 328) |
Did Tycho and Kepler "solve" the problem of the planetary
motions![]()
Kepler did not hit upon the WHY he was getting close with his suggestion of some force able to act over a distance without having to actually be in physical contact with the planets. He thought this might be something like the force exerted by a magnet. He envisioned the sun as the source of this force.
Kepler worked during one of the most devastating wars in human history,
the "30-Years War" ![]()
![]() |
He supported his family through astrology and had a number of ideas about the planetary system that belong more to that discipline than to astronomy. For example, he proposed that the sizes of the planetary orbits were given by the diameters of the spheres that could be circumscribed around the regular polygons if arranged in a certain order (From Astronomy, by Fred Hoyle). |
He proposed that the ellipticities of the planet orbits were determined by tunes they hummed as they went around them -- the "music of the spheres." (Illustrations from Astronomy, Fred Hoyle, and the Cambridge Illustrated History of Astronomy by M. Hoskin)


![]() |
Although this scheme looks bizarre to modern science, it has nearly perfect correspondence to his fits to Tycho's measurements. It is hard to imagine a scientist not being convinced of his own brilliance with such good agreement!! So, weird as these theories look to modern eyes, they were scientific in their day. |
Kepler developed a unique, sophisticated astrology![]()
Test your understanding before going on![]()
![]()
Tycho's model; the sun goes around the earth, but all the other planets go around the sun.(from http://www.uscarom.org/billiard_ball_universe.html) |
![]()
"Dialog Concerning the Two World Systems" http://www.pd.astro.it/MOSTRA/G1100MAN.HTM |
|
Click to return to syllabus |
||
| Click for Tycho Brahe | hypertext |
Click for Galileo |